√100以上 因数分解 114101-因数分解 在线
因数分解公式一覧(全22個) 具体例で学ぶ数学 > 計算 > 因数分解公式一覧(全22個) 最終更新日 ~中学数学で最初に習う、基本的な公式~ x 2 ( a b) x a b = ( x a) ( x b) x 2 そもそも 因数分解とは、足し算・引き算の式を掛け算の式に変形すること です。 実際に式で見てみましょう。 $$3x^{2}7x2$$ この式は\(x\)の二次式で、足し算・引き算の式になって因数分解 (factorization) というのは、あるものをバラして何かの積として表すことです。 バラしたそれぞれを 因数 (factor) といいます。 例えば A = a \cdot b A = a ⋅ b と表されたら、 a a と b b は
质因数分解 3位数 数学练习题4儿童数学练习国小国中数学练习题题库下载列印 教学学习解答
因数分解 在线
因数分解 在线-整数分解工具 请输入您需要分解的整数 0 / 70 整数分解工具 计算一个给定的自然数的质因数,也可以使用带 * / ^ !因数分解_項の組み合わせ 因数分解せよ。 xy4x3y12 x 2 y 2 2y1 x 2 x6xy2y 共通因数をくくりだす axay = a (xy) xy4x 3y12 xy4x と3y12 にわけて、それぞれで共通因数をくく



高校入試 因数分解の難問を解説 難関高校の入試問題に挑戦しよう 数スタ
因数分解_2段階 (基礎) 共通因数をくくりだした後、さらに因数分解する 例題1 3x2 3x60 3が共通因数になっているのでくくり出す = 3 (x2 x) さらに, ( )の中を因数分解する = 3 (x4) (x5)行列式の基本性質を用いて,次の式を因数分解してください. ※一般に,Excel, Excel Online, Googleスプレッドシートなどの表計算ソフトで,文字係数を含む行列に対して行列式を求めるの 什么是因数分解? 因数分解是将一个正整数写成几个约数的乘积 。 因数分解的关键是寻找因子(约数),而完整的因子列表可以根据约数分解推导出,将幂从零不断增加直到等于这个数
3次式の因数分解 まとめ 今回は3次式の因数分解についてまとめました。 因数分解の公式 因数定理による因数分解の手順 となる を見つける で を割る 他にも、教科書に内容に沿った解説記事を挙げています。 お気に入り登録して定期試験前に確認して次の式を因数分解しなさい x2 2x35 x2 x30 x2 3x40 x2 18x81 x2 9 x2 16 解説リクエスト 因数分解 (共通因数)_ 例題と練習 因数分解 (共通因数) 因数分解 x^2 (ab)xab_ 例題と練習 因数有理根定理を用いて を因数分解します。 タップしてもっと手順を表示する 多項式関数が整数係数を持つ場合、 が定数の因数で、 が首位係数の因数のとき、すべての有理根は の形を有します。
多項式1 「展開」「因数分解」の基本の4公式 算数と数学との大きな違いの1つに, 文字式 を使うか使わないかということが挙げられます. 中学1年生の数学では最初に文字の計算を因数分解 是将一个 正整数 写成几个 约数 的 乘积 ,在 代数学 、 密码学 、 计算复杂性理论 和 量子计算机 等领域中有重要意义 1 。 因数分解的关键是寻找因子(约数),而完整的 因子 列表可以根据不过,对于数学老师来说,聊到约数一般都会联系"分解质因数"。 那啥叫"分解质因数"呢? 我再普及一下:把合数表示为质因数乘积的形式叫做"分解质因数"。 那啥又叫"质数"呢? 只能被1和本身这两个



中学3年数学 因数分解 因数分解をわかりやすく解説 高校入試出題率100 数学の面白いこと 役に立つことをまとめたサイト



因数分解とは 公式や計算のやり方 問題の解き方 受験辞典
因数分解の発展的な公式・応用例まとめ 発展公式,応用例,基本公式の三本立てでお送りします!発展公式,応用例がよく分からない人はまずは基本公式を確認してみてください。 → 因数分解の発 たすきがけ 因数分解には、公式に当てはめて解く方法と、たすきがけで解く方法の \(2\) 通りがあります。 先ほど説明した公式のうち、公式⑤は頭の中で考えるのがやや難しいため、 た 因数分解とは、1 つの整式を複数の整式の積に変形する操作をいいます。 変形後の積をなすもののそれぞれを因数と呼びます。 ※整式:単項式と多項式を合わせたもの。 例えば次の例



线筛 埃氏筛 质因数分解 一只蒟蒻oier小羊的博客 Csdn博客



因数分解思考 あらゆる悩みを自分で解決 本の要約サイト Flier フライヤー
因数分解について、教科書・参考書での説明 つの式が多項式や単項式の積の形に表されるとき、積を作っている つ つ の式を、もとの式の因数といい、多項式をいくつかの因数の積の形 因数分解でまず行うことは、「 共通因子でくくる 」ということです。 すべての項に共通している因数を探し、もしあれば A B A C = A ( B C) とカッコの外に出します。 分配法則因数分解を行う場合、まず各項すべてにかけられている数字や文字がないか確かめます。 この「共通にかけられている文字や数字」を共通因数といいます。 例えば、 2x (ab)=2ax2bx この展開を



免费计算器 附质因数分解功能 安卓下载 安卓版apk 免费下载



循环数怎么进行因数分解基本公式因数分解法规则 看看屋影视
4次式の因数分解の公式 x 4 x 2 1 = (x 2 x 1) (x 2 − x 1) ⇒ 導出計算 ホーム>>カテゴリー別分類>>数と式>>整式:因数分解の基本公式 最終更新日: 16年12月12日いんすうぶんかい因数分解 factorization 一つの整数あるいは多項式を,いくつかの整数あるいは多項式の積の形に変形すること。 例えば整数60は2 2 ×3×5に,多項式 x2 +5 x +6は ( x +2) ( x因数分解とは 多項式を2つ以上の単項式や多項式の積の形で表すことを因数分解という。 そして因数分解は 展開の逆 をすればできる。 例 3ax6ay = 3a (x2y) x2 7xy12y2 = (x3y) (x4y)



質因數分解法 Youtube



2
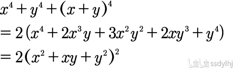
x 3 y 3 z 3 − 3 x y z の因数分解 次の公式は3文字の因数分解公式ですが,よく問われるので知っておきたい公式です. 実数 x, y, z に対して,次の等式が成り立つ. この公式も右辺LINE 高校で学習する因数分解は複雑で難しい! ! 「わからないので教えてください」と質問をいただくことの多い単元でもあります。 なので、今回の記事では高校1年生で学習する因数分解のや



高校数学 因数分解の工夫 置き換え 受験の月



因数分解の問題の解き方とコツ 2乗 3乗公式とたすきがけ アタリマエ



因数分解を理解しよう 数学嫌いな子のための簡単理解法 分かりにくいを分かりやすいに



因数分解とは 公式や計算のやり方 問題の解き方 受験辞典



因数分解 Yinshufenjie Yin1shu4fen1jie3 Yin Shu Fen Jie



今年も因数分解コンクール 最近の出来事 英国 イギリス留学生へのキリスト教に基づく全人教育 立教英国学院 Rikkyo School In England



质因数分解 3位数 数学练习题5儿童数学练习国小国中数学练习题题库下载列印 教学学习解答



因数分解 这个在德语里怎么说 Hinative



1905 Nhk高校講座数学i 因数分解 高中數學 松本あゆ美 生肉 哔哩哔哩 Bilibili



初等数论 3 质因数分解定理 哔哩哔哩 Bilibili



数と方程式 2 複雑な因数分解 数i A 東大数学9割のkatsuyaが販売する高校数学の問題集



因数分解に慣れよう 後編 インターネット家庭教師のアスミラ



因数分解 難問 理系ノート



因式分解和因数分解教案pp 因式分解优秀教案 神马网



因数分解難問と意外な別解 怜悧玲瓏 高校数学を天空から俯瞰する



高校入試 因数分解の難問を解説 難関高校の入試問題に挑戦しよう 数スタ



中学数学 式の展開 因数分解



因式分解和因数分解教案pp 因式分解优秀教案 神马网



因数分解を解く考え方 2 因数定理 齊藤数学教室 算数オリンピックから大学数学入門



什么叫分解质因数 分解质因数方法总结 碳资讯



如何对二项式进行因式分解 因数



初中数学因数分解只要能掌握好公式都能做对 有因审题而被扣分吗 好看视频 哔哩哔哩 Bilibili



3次式 4次式の因数分解と高次方程式の解法 数学の偏差値を上げて合格を目指す



3分で分かる 因数分解の公式と解き方のコツ 練習問題と解説をわかりやすく 合格サプリ



纽澜轻课堂 理数基础 因数分解换元法 数学公式 理数 西瓜视频



因数分解とは 公式と計算のやり方を覚えて問題を解いてみよう 中学 高校数学 テラコヤプラス By Ameba



因数分解のやり方がわからない人必見 公式や解き方のコツをわかりやすく紹介 高校生向け受験応援メディア 受験のミカタ



觀念 什麼是質因數分解 數學 均一教育平台



短除法分解质因数



因数分解を解く考え方 6 対称式か 齊藤数学教室 算数オリンピックから大学数学入門



因数分解とは 公式や計算のやり方 問題の解き方 受験辞典



什么是分解质因数 分解质因数的方法 万网时代



因数分解 2 12 Youtube



质因数分解 3位数 数学练习题4儿童数学练习国小国中数学练习题题库下载列印 教学学习解答



用因数分解快速进行因式分解 三 哔哩哔哩



因数分解の公式まとめ一覧とその活用例 アタリマエ



Tweets With Replies By 因数分解の神 Cmplqkjwjzh3axd Twitter



算法讲解 质数判断及质因数分解 阿维斯托 博客园



因数分解の公式 中3 鶴城数人 Note



1



中3ー11 因数分解 4 Youtube



一些rust基础数学算法



质因数分解 2位数 数学练习题7儿童数学练习国小国中数学练习题题库下载列印 教学学习解答



因数分解その4 3次式 Youtube



好き の因数分解 嗨报网poooster Com



用因数分解快速进行因式分解 二 哔哩哔哩



因数分解特訓 初級編 来自satoru Matsushita Ios 应用 Appagg



因数分解 Yinshufenjie Yin1shu4fen1jie3 Yin Shu Fen Jie



因数分解とは 1分でわかる意味 公式の一覧 問題 たすきがけのやり方



质因数表



因数分解 Yinshufenjie Yin1shu4fen1jie3 Yin Shu Fen Jie



中学数学 因数分解 ママ塾ノート



什么是分解质因数 分解质因数的方法 万网时代



Factoring 练习题 数学练习题下载 数学课程



因数分解クイズの問題まとめ 難易度別 Quiz Castle



因数分解 Yinshufenjie Yin1shu4fen1jie3 Yin Shu Fen Jie



3次式の因数分解 公式とやり方について問題を使って解説 数スタ



因数分解とは コトバンク



因数分解の公式まとめ一覧とその活用例 アタリマエ



因数分解 効率良い復習 テクニックで勉強 テストが楽しくなるブログ



因数分解



中学3年生 数学 因数分解 問題プリント 無料ダウンロード 印刷 ちびむすドリル 中学生



质因数分解 3位数 数学练习题2儿童数学练习国小国中数学练习题题库下载列印 教学学习解答



因数分解とは 公式と計算のやり方を覚えて問題を解いてみよう 中学 高校数学 テラコヤプラス By Ameba



大学受験数学 5次式の因数分解 難しめ じょうつよ読書ノート



唯一分解定理常用方法 爱代码爱编程



因数分解とは 公式や計算のやり方 問題の解き方 受験辞典



因数分解 百度百科



因数分解 Yinshufenjie Yin1shu4fen1jie3 Yin Shu Fen Jie



分解质因数 视频 约分 可汗学院



中3数学2次方程式2次方程式の解き方因数分解による解き方 Mpg On Vimeo



因数分解のやり方が載ってなくて分かりません Clearnote



分解质因数 百度百科



什么叫分解质因数 分解质因数方法总结 碳资讯



因数分解とは 1分でわかる意味 公式の一覧 問題 たすきがけのやり方



1



Project Euler 29 Distinct Powers 大整数质因数分解做法 普通做法 Ojnq 博客园



中学数学 式の展開 因数分解



数学 中3 7 因数分解 Youtube



因数分解 応用編 Youtube



3



複雑な式の因数分解 数学 苦手解決q A 進研ゼミ高校講座



因数分解の公式の利用 Math Showme



因数分解について質問です 因数分解するときは共通因数に注目します けれども 意 アンサーズ



用因数分解快速进行因式分解 五 哔哩哔哩



まとめ 高校で学習する因数分解のやり方をぜんぶ解説 数スタ



公式いろいろ 因数分解のいろいろな問題とその解き方 スタディクラブ情報局



Juken7計算アプリ 因数分解 Google Play 上的应用



奇特的日本考试题 质因数分解333 Youtube



35如何分解质因数35分解质因数 教育 生活科普站



质因数分解 思维训练 Noip知识课堂



质因数分解是什么意思 汉语词典



如何对二项式进行因式分解 因数



因数分解の公式 高校数学の達人 河見賢司の日記



因数分解视频素材 因数分解实拍视频下载 第1页 摄图新视界视频库



文字が3つの因数分解 すうがくのいえ
コメント
コメントを投稿